Questões filtradas por: cargo de auditor fiscal da receita federal

Quer testar seus conhecimentos de maneira rápida, fácil e eficiente? Responda aqui milhares de questões grátis de concursos anteriores. Você pode filtrar as questões por cargo, órgão, matéria e banca de acordo com o seu objetivo. Prepare-se para os concursos públicos.

001
Matéria: Balanço Patrimonial
Órgão: Receita Federal
Ano: 2014

A Cia. Solimões Industrial adquire um terreno por R$2.000.000 nas proximidades de suas instalações, para valorização.Na tomada de decisão pelo negócio,foi considerada a oportunidade das condições negociadas, o início de obras governamentais nas proximidades para ampliação da malha rodoviária e a construção de um entreposto de produtos agrícolas e a consequente valorização de imóveis naquela região.

Ao registrar a aquisição desse imóvel, a empresa deve classificar esse bem como Ativo:

002
Matéria: Balanço Patrimonial
Órgão: Receita Federal
Ano: 2014

No tratamento contábil das contas de Reservas, são classificadas como Reservas de Lucrosas:

003
Matéria: Comércio Internacional (Exterior)
Órgão: Receita Federal
Ano: 2014

Acerca do PIS/PASEP-Importação, da COFINS- Importação e dos programas específicos que veiculam benefícios fiscais no âmbito de tais tributos,do Imposto sobre Produtos Industrializados-Importação e do Adicional ao Frete para a Renovação da Marinha Mercante,assinale a opção correta.

004
Matéria: Interpretação de texto | Reading comprehension
Órgão: Receita Federal
Ano: 2014

The IRS Chief Counsel is appointed by the President of the United States, with the advice and consent of the U.S. Senate, and serves as the chief legal advisor to the IRS Commissioner on all matters pertaining to the interpretation, administration, and enforcement of the Internal Revenue Code, as well as all other legal matters. Under the IRS Restructuring and Reform Act of 1998, the Chief Counsel reports to both the IRS Commissioner and the Treasury General Counsel.
Attorneys in the Chief Counsel’s Offce serve as lawyers for the IRS. They provide the IRS and taxpayers with guidance on interpreting Federal tax laws correctly, represent the IRS in litigation, and provide all other legal support required to carry out the IRS mission.
Chief Counsel received 95,929 cases and closed 94,323 cases during fscal year 2012. Of the new cases received, and cases closed, the majority related to tax law enforcement and litigation, including Tax Court litigation; collection, bankruptcy, and summons advice and litigation; Appellate Court litigation; criminal tax; and enforcement advice and assistance.
In Fiscal Year 2012, Chief Counsel received 31,295 Tax Court cases involving taxpayers contesting an IRS determination that they owed additional tax. The total amount of tax and penalty in dispute at the end of the fscal year was almost $6.6 billion.


(Source: Internal Revenue Service Data Book, 2012.)


During fscal year 2012, the Chief Counsel's offce succeededin

005
Matéria: Segurados Obrigatórios - Empregado
Órgão: Receita Federal
Ano: 2012

Sobre o conceito de salário-de-contribuição, analise os itens a seguir, classificando-os como corretos ou incorretos, para, a seguir, assinalar a assertiva que corresponda à sua opção.


I. Para os segurados empregado e trabalhador avulso, a remuneração auferida em uma ou mais empresas, assim entendida a totalidade dos rendimentos que lhe são pagos, devidos ou creditados a qualquer título, durante o mês, destinados a retribuir o trabalho, qualquer que seja a sua forma, inclusive as gorjetas, os ganhos habituais sob a forma de utilidades e os adiantamentos decorrentes de reajuste salarial, quer pelos serviços efetivamente prestados, quer pelo tempo à disposição do empregador ou tomador de serviços, nos termos da lei ou do contrato ou, ainda, de convenção ou de acordo coletivo de trabalho ou de sentença normativa, observados os limites mínimo e máximo.


II. Para o segurado empregado doméstico, a remuneração registrada em sua CTPS ou comprovada mediante recibos de pagamento, observados os limites mínimo e máximo.


III. Para o segurado contribuinte individual, independentemente da data de filiação ao RGPS, considerando os fatos geradores ocorridos desde 1º de abril de 2003, a remuneração auferida em uma ou mais empresas ou pelo exercício de sua atividade por conta própria, durante o mês, observados os limites mínimo e máximo do salário de contribuição.


IV. Para o segurado especial que usar da faculdade de contribuir individualmente, o valor por ele declarado.


Estão corretos apenas os itens:

006
Matéria: Contabilidade - Noções Gerais
Órgão: Receita Federal
Ano: 2012

Na identificação e determinação de erro contábil de períodos anteriores, devem ser consideradas as omissões e incorreções nas demonstrações contábeis da entidade de um ou mais períodos anteriores que

007
Matéria: Implicação Lógica
Órgão: Receita Federal
Ano: 2009

Considere a seguinte proposição: "Se chove ou neva, então o chão fi ca molhado". Sendo assim, pode-se afi rmar que:

008
Matéria: Matrizes, Determinantes e Sistemas Lineares
Órgão: Receita Federal
Ano: 2009

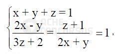
Com relação ao sistema ,

Imagem 029.jpg
onde 3 z + 2 ≠ 0 e 2 x + y ≠ 0 , pode-se, com certeza, afirmar que:

009
Matéria: Teoria da Constituição
Órgão: Receita Federal
Ano: 2009

Marque a opção correta.

010
Matéria: Receita Federal do Brasil
Órgão: Receita Federal
Ano: 2009

No contexto do comércio exterior brasileiro, são atribuições da Receita Federal do Brasil: